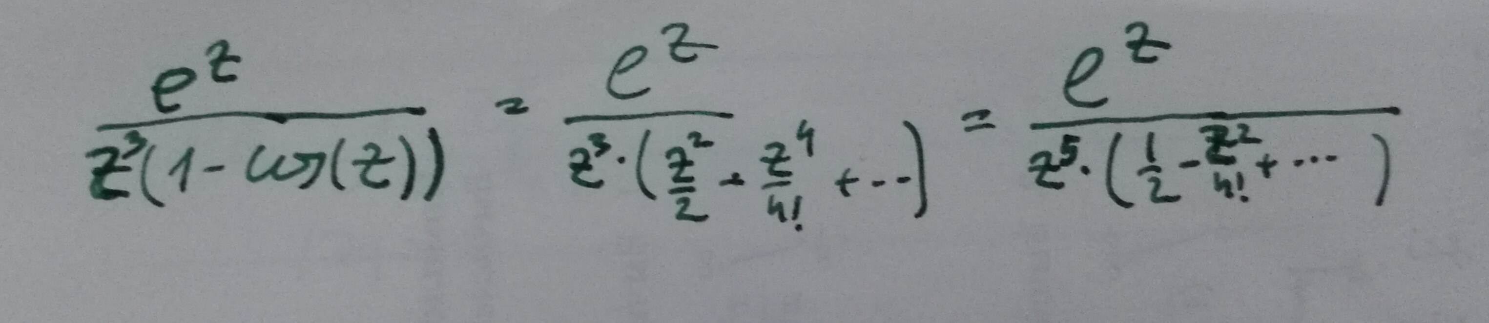
Для функции $f(z) = \dfrac{e^z}{z^3(1-\cos z)}$ точка $z=0$ это полюс. Определить порядок полюса ($m$)

$m =$



Ответ: $m = 5$.