Задача №618 |
| Плоская монохроматическая TE-волна с частотой $\omega$ падает из
воздуха на горизонтальную поверхность стеклянного клина под
углом 45$^{\circ}$. Показатель преломления стекла $n=\sqrt{2}$. Сечение
клина – это прямоугольный треугольник с острыми углами 30$^{\circ}$
и 60$^{\circ}$ (см. рисунок). На нижней правой грани клина в проходящем свете наблюдается интерференционная картина, создаваемая двумя волнами: преломленной на верхней грани и отраженной от нижней левой грани. Найти расстояние $\Delta$ между интерференционными полосами (многократными отражениями пренебречь). |
|
|
|
Показать решение
|
|
Задача №611 |
| Проводящая бесконечно тонкая поверхность, для которой имеет место закон Ома
$J = \sigma^* E$, где $J$ – ток через единицу длины, а $\sigma^* $ – её поверхностная проводимость,
расположена параллельно бесконечному идеально проводящему полупространству на расстоянии $\lambda/4$ от него. На неё по нормали падает плоская монохроматическая линейно
поляризованная электромагнитная волна. Вне проводников – вакуум. Найти мощность, выделяемую в единице площади тонкой поверхности. |
|
|
|
Показать решение
|
|
Задача №610 |
| Проводящая бесконечно тонкая поверхность, для которой имеет место закон Ома
$J = \sigma^* E$, где $J$ – ток через единицу длины, а $\sigma^* $ – её поверхностная проводимость,
расположена параллельно бесконечному идеально проводящему полупространству на расстоянии $\lambda/4$ от него. На неё по нормали падает плоская монохроматическая линейно
поляризованная электромагнитная волна. Вне проводников – вакуум. Найти отношение интенсивности волны, отражённой от этой системы, к интенсивности падающей волны. |
|
|
|
Показать решение
|
|
Задача №608 |
| Плоская монохроматическая волна с круговой поляризацией падает под углом 30° из
прозрачной диэлектрической среды с проницаемостью $\varepsilon=2$ ($\mu = 1$) в воздух. Найти отношение полуосей эллиптически поляризованной отражённой волны. |
|
|
|
Показать решение
|
|
Задача №607 |
| Плоская монохроматическая волна с круговой поляризацией падает из воздуха на
плоскую границу диэлектрика с проницаемостью $\varepsilon = 1.5\, (\mu = 1)$ под углом $60^{\circ}$. Найти
отношение полуосей эллиптически поляризованной отражённой волны. |
|
|
|
Показать решение
|
|
Задача №565 |
| Плоская монохроматическая линейно поляризованная ЭМ волна падает по нормали
на систему из двух проводящих бесконечно тонких параллельных плоскостей, для
каждой из которых имеет место закон Ома $J = \sigma^* E$, где $J$ – ток на единицу длины, а $\sigma^*$ – соответствующая проводимость. Расстояние между плоскостями равно половине длины волны;
вне плоскостей и между ними – вакуум. Найти отношение интенсивности волны, отраженной от этой системы, к интенсивности падающей
волны. |
|
|
|
Показать решение
|
|
Задача №564 |
| Плоская монохроматическая линейно поляризованная ЭМ волна падает по нормали
на систему из двух проводящих бесконечно тонких параллельных плоскостей, для каждой из которых имеет место закон Ома $J = \sigma^* E$, где $J$ – ток на единицу длины, а
$\sigma^*$ – соответствующая проводимость. Расстояние между плоскостями равно половине длины волны;
вне плоскостей и между ними – вакуум. Найти отношение интенсивности волны, прошедшей через эту систему, к интенсивности падающей
волны. |
|
|
|
Показать решение
|
|
Задача №563 |
| Лазер излучает линейно поляризованный свет. Луч лазера
направляют из воздуха на плоскую границу диэлектрика с
проницаемостью $\varepsilon = 1.5$ ($\mu$ = 1) под углом $\theta_0 = 60^{\circ}$. Найти отношение минимального и максимального коэффициента отражения по интенсивности $\frac{R_{min}}{R_{max}}$ при повороте лазера вокруг своей оси. |
|
|
|
Показать решение
|
|
Задача №562 |
| Лазер излучает линейно поляризованный свет. Луч лазера
направляют из воздуха на плоскую границу диэлектрика с
проницаемостью $\varepsilon = 2$ ($\mu$ = 1) под углом $\theta_0 = 45^{\circ}$. Найти отношение минимального и максимального коэффициента отражения по интенсивности $\frac{R_{min}}{R_{max}}$ при повороте лазера вокруг своей оси. |
|
|
|
Показать решение
|
|
Задача №530 |
| Угол наклона идеальной зеркальной крыши составляет 30$^{\circ}$ от направления распространения ЭМ волны от передатчика,
удаленного на бесконечность вдоль оси $z$.
Как следует ориентировать и на каком минимальном расстоянии $D$ от крыши расположить штыревую антенну для обеспечения оптимального приема, если ЭМ
волна поляризована по оси $y$? Длина волны передатчика $\lambda$. |
|
|
|
Показать решение
|
|
Задача №515 |
| Плоская монохроматическая волна падает под углом Брюстера из воздуха на плоскую границу среды с показателем преломления $n$. Найти угол преломления $\theta_2$. |
|
|
|
Показать решение
|
|
Задача №514 |
| Плоская монохроматическая волна с круговой поляризацией падает на границу раздела двух сред под углом Брюстера, равным $\theta_2=75^{\circ}$. Найти коэффициент отражения $R$ по интенсивности. |
|
|
|
Показать решение
|
|
Задача №509 |
| Плоская линейно-поляризованная волна падает на плоскую границу раздела двух сред. Коэффициент её прохождения по интенсивности равен $d$, а составляющих её $s-$ и $p-$волн, соответственно, $d_s$ и $d_p$. Найти угол между плоскостью поляризации падающей волны и плоскостью падения. |
|
|
|
Показать решение
|
|
Задача №508 |
| Плоская линейно-поляризованная волна падает на плоскую границу раздела двух сред. Коэффициент её отражения по интенсивности равен $r$, а составляющих её $s-$ и $p-$волн, соответственно, $r_s$ и $r_p$. Найти угол между плоскостью поляризации падающей волны и плоскостью падения. |
|
|
|
Показать решение
|
|
Задача №479 |
| Солнечный парус представляет собой плоскую поверхность из пленки,
хорошо отражающей свет. Какова должна быть толщина пленки, чтобы такой парус мог выйти за пределы солнечной системы (то есть сила давления солнечного света превышала силу гравитационного притяжения)? Плотность пленки $1.5$ г/см$^3$, полная мощность излучения Солнца $3.8\cdot 10^{26}$ Вт, масса Солнца $2\cdot10^{30}$ кг, гравитационная постоянная $6.67\cdot10^{-11}$ Нм$^2$/кг$^2$. |
|
|
|
Показать решение
|
|
Задача №437 |
| Интерферометр состоит из идеально отражающей поверхности (зеркала) и
расположенной перед ним на расстоянии $l$ проводящей плоскости, поверхностный
ток в которой удовлетворяет закону Ома, то есть $J=\sigma^* E$. При каких
значениях $\sigma^*$ и $l$ интерферометр не отражает (коэффициент отражения
$R=0$) падающую по нормали плоскую монохроматическую волну с волновым
вектором $\vec{k}$? |
|
|
|
Показать решение
|
|
Задача №434 |
| Найти степень поляризации естественного (неполяризованного) света в воздухе $(n_в=1)$
после отражения под углом $\theta_0 = 60^{\circ}$ от плоской границы среды с показателем преломления $n=\sqrt{3}$.
Степень поляризации принять равной $K=\frac{I_s-I_p}{I_s+I_p}$, где $I_s, \, I_p$ –
интенсивности соответственно $s$ (ТЕ) и $p$ (ТМ)-поляризованного света. |
|
|
|
Показать решение
|
|
Задача №433 |
| Найти степень поляризации естественного (неполяризованного) света в воздухе $(n_в=1)$
после отражения под углом $\theta_0 = 45^{\circ}$ от плоской границы среды с показателем преломления $n=\sqrt{2}$.
Степень поляризации принять равной $K=\frac{I_s-I_p}{I_s+I_p}$, где $I_s, \, I_p$ –
интенсивности соответственно $s$ (ТЕ) и $p$ (ТМ)-поляризованного света. |
|
|
|
Показать решение
|
|
Задача №403 |
| Плоская монохроматическая волна падает по нормали из одного диэлектрика в другой с показателями
преломления $n_1,\,\, n_2$ соответственно. Магнитные проницаемости обоих диэлектриков равны единице,
на их плоской границе раздела находится бесконечно тонкий проводник, для него выполняется закон Ома
$\vec{J}=\sigma^* \vec{E}$, $\sigma^*$ – поверхностная проводимость.
Найти коэффициент отражения (для интенсивности волны). |
|
|
|
Показать решение
|
|
Задача №392 |
| Из воздуха на пластинку с показателем преломления $n$, покрытую просветляющим покрытием,
падает по нормали (вдоль оси z) плоская электромагнитная волна. Показатель преломления и толщина покрытия выбраны
так, чтобы отражённой волны не было (при этом толщина покрытия выбрана минимально возможной).
На границе ''воздух–покрытие'' (при $z = 0$) электрическое поле равно $E_0\vec{e}_x \cos\omega t$.
Найти электрическое поле в точке с координатой $z$, равной 1/3 толщины покрытия (см. рис.). |
|
|
|
Показать решение
|
|
Задача №391 |
| Из воздуха на пластинку с показателем преломления $n$, покрытую просветляющим покрытием,
падает по нормали (вдоль оси z) плоская электромагнитная волна. Показатель преломления и толщина покрытия выбраны
так, чтобы отражённой волны не было (при этом толщина покрытия выбрана минимально возможной).
На границе ''воздух–покрытие'' (при z = 0) электрическое поле равно $E_0\vec{e}_x \cos\omega t$.
Найти электрическое поле в центре покрытия. |
|
|
|
Показать решение
|
|
Задача №390 |
| На бесконечно тонкую пластину падает по нормали линейно поляризованная волна.
На пластину нанесены параллельные проводящие дорожки с шагом, много меньшим длины волны, так,
что выполняется закон Ома (поверхностный ток $i_{x,y} =\sigma_{x,y}\cdot E_{x,y}$),
а поверхностная проводимость анизотропна $\sigma_x = \sigma^*,\, \sigma_y = 0$.
Найти коэффициент отражения волны по интенсивности, если волна поляризована
под углом $\alpha$ к направлению дорожек. |
|
|
|
Показать решение
|
|
Задача №389 |
| На бесконечно тонкую пластину падает по нормали волна с
круговой поляризацией. На нее нанесены параллельные проводящие дорожки с шагом, много меньшим длины волны, так,
что выполняется закон Ома (поверхностный ток $i_{x,y} =\sigma_{x,y}\cdot E_{x,y}$),
а поверхностная проводимость анизотропна $\sigma_x = \sigma^*,\, \sigma_y = 0$.
Найти коэффициент отражения волны по интенсивности. |
|
|
|
Показать решение
|
|
Задача №362 |
| На систему из трех проводящих бесконечно тонких параллельных поверхностей, для каждой из
которых выполняется закон Ома $J=\sigma^* E$, где $J$ – линейная плотность тока,
а $\sigma^*$ – соответствующая проводимость, по нормали к поверхностям падает плоская монохроматическая линейно
поляризованная эм волна. Расстояние между соседними поверхностями равно длине волны; вне их
– вакуум. Найти отношение интенсивности волны, прошедшей через эту систему, к интенсивности
падающей волны. |
|
|
|
Показать решение
|
|
Задача №341 |
| Электромагнитная волна, поляризованная по кругу, падает из оптически более плотной среды на
плоскую границу диэлектрика под углом Брюстера, при этом коэффициент ее
отражения по мощности равен 1/8. Определить угол полного внутреннего отражения. |
|
|
|
Показать решение
|
|
Задача №340 |
| Электромагнитная волна, поляризованная по кругу, падает из воздуха на
плоскую границу диэлектрика под углом Брюстера, при этом коэффициент ее
отражения по мощности равен 1/8. Найти коэффициент отражения по мощности
при нормальном падении. |
|
|
|
Показать решение
|
|
Задача №339 |
| На плоскую границу раздела двух сред со стороны оптически менее плотной
среды падает под некоторым углом плоская электромагнитная ТЕ-волна. Найти
коэффициент пропускания по мощности, если коэффициент пропускания по
амплитуде равен $d$. |
|
|
|
Показать решение
|
|
Задача №338 |
| На плоскую границу раздела двух сред со стороны оптически более плотной
среды под углом, меньшим угла полного внутреннего отражения, падает плоская
электромагнитная ТЕ-волна. Найти коэффициент пропускания по амплитуде,
если коэффициент отражения по мощности равен $R$. |
|
|
|
Показать решение
|
|
Задача №293 |
| На плоскую границу раздела двух сред с диэлектрическими проницаемостями
$\varepsilon_1$, $\varepsilon_2$ и магнитными проницаемостями $\mu_1$, $\mu_2$
падает TM волна. Определить коэффициент
отражения по амплитуде, если известно, что $\varepsilon_1 \mu_1=\varepsilon_2 \mu_2$,
при этом $\varepsilon_1 = \mu_1$, а $\varepsilon_2 = 4\mu_2$. |
|
|
|
Показать решение
|
|
Задача №292 |
| На плоскую границу раздела двух сред с диэлектрическими проницаемостями
$\varepsilon_1$, $\varepsilon_2$ и магнитными проницаемостями $\mu_1$, $\mu_2$
падает TE волна. Определить коэффициент
отражения по амплитуде, если известно, что $\varepsilon_1 \mu_1=\varepsilon_2 \mu_2$,
при этом $\varepsilon_1 = 4\mu_1$, а $\varepsilon_2 = \mu_2$. |
|
|
|
Показать решение
|
|
Задача №289 |
| TE-волна $\vec{E}_0=\vec{E}_{0m}\e^{i(\vec{k}\vec{r}-\omega t)}$ падает под углом $\phi=45^{\circ}$
на плоское идеально проводящее зеркало. Найти плотности поверхностных зарядов и токов,
наведенных в зеркале. |
|
|
|
Показать решение
|
|
Задача №288 |
| TM-волна $\vec{E}_0=\vec{E}_{0m}\e^{i(\vec{k}\vec{r}-\omega t)}$
падает под углом $\phi=45^{\circ}$
на плоское идеально проводящее зеркало. Найти плотности поверхностных зарядов и токов,
наведенных в зеркале. |
|
|
|
Показать решение
|
|
Задача №287 |
| На границу раздела двух диэлектриков с показателями преломления $n_1$ и $n_2$ под углом полного внутреннего отражения падает
TM-волна с магнитным полем $\vec{H}_0=H_0\e^{i(\vec{k}_0\vec{r}-\omega t)}\vec{e}_y$ (см. рисунок).
Определить координаты точек пространства, в которых $H=0$ во все моменты времени. |
|
|
|
Показать решение
|
|
Задача №286 |
| На границу раздела двух диэлектриков с показателями преломления $n_1$ и $n_2$ под углом полного внутреннего отражения падает
TE-волна с электрическим полем $\vec{E}_0=E_0\e^{i(\vec{k}_0\vec{r}-\omega t)}\vec{e}_y$ (см. рисунок).
Определить координаты точек пространства, в которых $E=0$ во все моменты времени. |
|
|
|
Показать решение
|
|
Задача №247 |
| Плоская тонкая проводящая пластинка разделяет области с показателями
преломления $n_1$ и $n_2$ ($n_2<n_1$). Со стороны области 1 на пластинку
под углом полного внутреннего отражения падает $TE$-волна.
Найти удельную проводимость пластинки $\sigma^*$
(ток на единицу длины $\vec{i}=\sigma^*\vec{E}$),
при которой отраженная волна отсутствует. |
|
|
|
Показать решение
|
|
Задача №245 |
| В длинном волноводе квадратного сечения $a\times a$ с идеально проводящими
стенками вдоль оси $z$ в области $z<0$ распространяется
$E_{11}$-волна. Область $z<0$ волновода заполнена
диэлектриком с проницаемостью $\varepsilon $ ($\mu=1$), а область
$z>0$ – пуста. Определите частоту волны, при которой не будет
волны, отраженной от границы раздела $z=0$. |
|
|
|
Показать решение
|
|
Задача №244 |
| В длинном волноводе квадратного сечения $a\times a$ с идеально проводящими
стенками вдоль оси $z$ в области $z<0$ распространяется
$E_{11}$-волна. Область $z<0$ волновода заполнена
диэлектриком с проницаемостью $\varepsilon$ ($\mu=1$), а область
$z>0$ – пуста. Определите максимальную частоту волны, при
которой она полностью отразится от границы раздела $z=0$. |
|
|
|
Показать решение
|
|
Задача №239 |
| В стоячей волне частоты $\omega$, возбужденной в прямом двугранном угле (см. рисунок)
с идеально проводящими стенками, магнитное поле имеет вид $\vec{B}(x,y,t)=B(x,y){\text{e}}^{i\omega t}\vec{e}_z$,
где $B(x,y)=B_0 f(y)\cos\frac{\omega x}{2c}$. Требуется найти множитель $f(y)$. |
|
|
|
Показать решение
|
|
Задача №238 |
| В стоячей волне частоты $\omega$, возбужденной в прямом двугранном угле (см. рисунок)
с идеально проводящими стенками, электрическое поле имеет вид $\vec{E}(x,y,t)=E(x,y){\text{e}}^{i\omega t}\vec{e}_z$,
где $E(x,y)=E_0 f(y)\sin\frac{\omega x}{2c}$. Требуется найти множитель $f(y)$. |
|
|
|
Показать решение
|
|
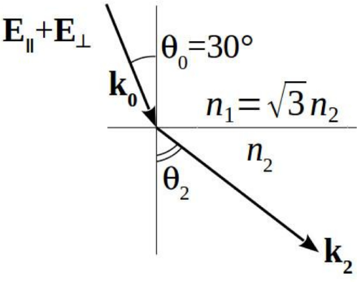
Задача №237 |
| На границу раздела двух диэлектриков с показателями
преломления $n_1$ и $n_2$ $(n_1$=$\sqrt{3}n_2$, $\mu_{1,2}=1)$ падает под углом падения $\theta_0 =30^{\circ}$
эллиптически поляризованная волна с компонентами электрического поля, перпендикулярного плоскости
падения $E_{\perp}=E_0{\e}^{i(\vec{k}\vec{r}-\omega t)}$ и лежащего в плоскости падения
$E_{\parallel}=\frac{\sqrt{3}}{2}E_0{\e}^{i(\vec{k}\vec{r}-\omega t-\pi/2)}$. Определить поляризацию преломленной волны и
отношение интенсивности отраженной волны к интенсивности падающей волны. |
|
|
|
Показать решение
|
|
Задача №234 |
| На границу раздела двух диэлектриков с показателями
преломления $n_1$ и $n_2$ $(n_1$=$\sqrt{3}n_2$, $\mu_{1,2}=1)$ падает под углом падения $\theta_0 =30^{\circ}$
эллиптически поляризованная волна с компонентами электрического поля, перпендикулярного плоскости
падения $E_{\perp}=E_0{\e}^{i(\vec{k}\vec{r}-\omega t)}$ и лежащего в плоскости падения
$E_{\parallel}=\frac{\sqrt{3}}{2}E_0{\e}^{i(\vec{k}\vec{r}-\omega t+\pi/2)}$. Определить поляризацию преломленной волны и
отношение интенсивности отраженной волны к интенсивности падающей волны. |
|
|
|
Показать решение
|
|
Задача №191 |
| Свет падает из воды (показатель преломления $4/3$) в воздух (показатель преломления
считать единицей) под таким углом падения $\theta_0$, при котором TM-волна полностью проходит.
Найти $\cos(\theta_0)$ и $\cos(\theta_2)$ (см. рис.). Найти отношение
интенсивности прошедшего света к интенсивности падающего света для TE-волны при данном угле падения. |
|
|
|
Показать решение
|
|
Задача №190 |
| Луч света интенсивностью $I_0$ падает на поворотную призму из стекла с показателем
преломления $n=3/2$, по нормали к ее большой грани, как показано
на рисунке. Основанием призмы является прямоугольный равнобедренный
треугольник. Найти отношение интенсивностей лучей $I_1/I_0$. Переотраженными
лучами пренебречь. |
|
|
|
Показать решение
|
|
Задача №189 |
| Плоская монохроматическая электромагнитная ТM-волна с длиной волны $\lambda$ и
амплитудой электрического поля $E_0$ падает на уголковый отражатель с идеально
проводящими стенками, под углом $\alpha$ к одной из граней. Найти распределение
электрического поля $E(x,y,t)$ в области $x\leqslant 0,\; y\geqslant 0$. |
|
|
|
Показать решение
|
|
Задача №186 |
| Плоская монохроматическая электромагнитная ТЕ–волна с длиной волны $\lambda$ и
амплитудой электрического поля $E_0$ падает на уголковый отражатель с идеально
проводящими стенками, под углом $\alpha$ к одной из граней. Найти распределение
электрического поля $E(x,y,t)$ в области $x\leqslant 0,\; y\geqslant 0$. |
|
|
|
Показать решение
|
|
Задача №171 |
| Плоская тонкая проводящая пластинка с удельной проводимостью $\sigma^*$
($\vec{i}=\sigma^*\vec{E}$, $\vec{i}$ - ток на единицу длины) разделяет области с диэлектрическими
проницаемостями $\varepsilon_1$ и $\varepsilon_2$ ($\mu_1=\mu_2=1$). Со стороны области 1 на пластинку по
нормали падает плоская линейно поляризованная монохроматическая волна с
амплитудой $E_0$. Для случая $\varepsilon_1=\varepsilon_2=1$ найти среднюю по времени поглощаемую в пластинке
мощность $w$ на единицу поверхности (1 б). При какой $\sigma^*$ $w$ максимальна (1 б)?
Для случая $\varepsilon_1$>$\varepsilon_2$ найти $\sigma^*$, при которой отраженная волна отсутствует (2 б). |
|
|
|
Показать решение
|
|
Задача №167 |
| Пучок естественного (неполяризованного) света падает из жидкости на плоскую границу раздела жидкость/стекло
(показатель преломления стекла равен 3/2, магнитные проницаемости жидкости и стекла считать равными единице).
Отраженный пучок света составляет угол $\phi$ с падающим пучком. Определить
показатель преломления жидкости, если отраженный свет поляризован линейно. |
|
|
|
Показать решение
|
|
Задача №164 |
| Стоячая волна образована падающей и отраженной от идеально проводящей плоскости $z=0$ волнами.
Электрическое поле падающей волны $\vec{E}(z,t)=E_0 (\vec{e}_x+i\vec{e}_y){\text{e}}^{i (-kz-\omega t)}$.
Найти $z=z_n$ ($n$=1,2,3,...) – расстояния от идеально проводящей плоскости до плоскостей,
в которых суммарные поля падающей и отраженной волн $\vec{E}$ и $\vec{B}$ в каждый момент времени равны
по модулю и направлены в противоположные стороны. |
|
|
|
Показать решение
|
|
Задача №163 |
| На плоскую границу раздела сред с вещественными магнитными
проницаемостями $\mu_1,\; \mu_2$ и диэлектрическими проницаемостями
$\varepsilon_1=\varepsilon_2=\varepsilon$ падает плоская монохроматическая TE-волна, как показано
на схеме. При каком значении угла падения $\phi$ отраженная волна отсутствует? (3 б). |
|
|
|
Показать решение
|
|
Задача №125 |
| В плоскости $z=0$ находится транспарант, амплитудный коэффициент пропускания
которого имеет вид $t(x)=\frac{1+b\cos(\alpha x)}{1+b}$. На транспарант слева нормально
падает плоская монохроматическая волна, амплитуда которой равна $E_0$, а длина волны
$\lambda=\frac{2\pi}{a}$. Найти волны справа от транспаранта. |
|
|
|
Показать решение
|
|
Задача №45 |
| В плоскости $z=0$ бесконечного прямоугольного волновода с сечением
$a\times b$, $(a>b)$ с идеально проводящими стенками
натянута тонкая пленка с проводимостью $\sigma_{\ast }$, определяющей связь $\vec{i}=\sigma_{\ast }\vec{E}_{\bot }$
между поверхностной плотностью тока в пленке и поперечной составляющей электрического поля $E_{\bot }=(E_{x},E_{y})$.
Вдоль волновода бежит волна типа $H_{10}$ с полем $B_{z}=B_{0}\mathrm{\cos}\left(
\frac{\pi }{a}x\right){\text{e}}^{i(k_{z}z-\omega t)}$.
Найти амплитуду $B_{1}$ в волне
$B_{z}^{(1)} = B_1\cos\left(\frac{\pi}{a}x\right){\text{e}}^{i(-k_{z}z-\omega t)}$, отраженной от пленки. |
|
|
|
Показать решение
|
|
Задача №28 |
| Волна круговой поляризации с электрическим полем
$\vec{E}_{\text{пад}}(z,t)=E_{0}(\vec{e}_x+i\vec{e}_y){\e}^{i(\vec{k}\vec{z}-\omega t)}$ падает на идеально
проводящую границу $z = 0$. Выписать выражение для магнитного поля $B_{\text{отр}}(z,t)$ отраженной волны,
считая $\varepsilon = \mu = 1$ в полупространстве $z < 0$. |
|
|
|
Показать решение
|
|
Задача №27 |
| Найти коэффициенты отражения и прохождения для TM-волны, падающей под углом $\theta$
на плоскую пластину с поверхностной проводимостью $\sigma^*$ ($i = \sigma^* E$). |
|
|
|
Показать решение
|
|
Задача №26 |
| Монохроматическая плоская ТМ-волна с электрическим полем $\vec{{E}}_{0}
{\text{e}}^{i(\vec{k}\vec{r}-\omega t)}$ падает под углом $\alpha $ на границу
идеально проводящего полупространства $y>0$ (см. рисунок). Найти поверхностные
плотности тока $i_{x} (x,t)$ и заряда $\Sigma (x,t)$, возникающие на границе
$y=0$. |
|
|
|
Показать решение
|
|
Задача №25 |
| На идеально проводящее полупространство $z\geqslant 0$ из пустоты падает
плоская монохроматическая TM-волна с амплитудой $E_{0}$ и частотой $\omega $
под углом $\phi $ к оси $z$ ($zx$ – плоскость падения). Найти распределение
поверхностной плотности зарядов $\sigma (x,t)$ и тока $i_{0}(x,t)$ на поверхности
проводника. |
|
|
|
Показать решение
|
|