Поле в диэлектриках, граница раздела двух сред, граничные условия, свободные и связанные заряды

Краткая теория

В рамках курса "Электричество и магнетизм" диэлектрик – это среда, содержащая большое число электрических диполей (молекул, обладающих нулевым зарядом и ненулевым электрическим дипольным моментом). Эти диполи лишены поступательных степеней свободы, но вращательные у них имеются. В отсутствие внешнего электрического поля диполи ориентированы случайно. При наложении внешнего поля диполи поворачиваются, приобретая преимущественную ориентацию. В результате к внешнему полю добавляется поле диполей. Определение полного поля составляет задачу электростатики в диэлектриках. При этом подразумевается поле в макроскопическом смысле, то есть усредненное по физически бесконечно малым элементам объема и, таким образом, не зависящее от микроскопических колебаний плотности заряда, связанных с молекулярным строением вещества. Другими словами, дополнительное поле рассчитывается в приближении сплошной среды.

В случае однородного диэлектрика даже выстроенные по внешнему полю диполи не приводят к появлению объемного заряда, поскольку в любом объеме число отрицательных и положительных зарядов одинаково. Нескомпенсированный заряд возможен только на границе диэлектрика, где он характеризуется поверхностной плотностью. Поэтому дополнительное поле можно свести к действию только поверхностных зарядов, что технически значительно проще, чем рассчитывать интегральное поле диполей по всему объему диэлектрика.

Заряды в диэлектрике могут формироваться как за счет молекул самого диэлектрика, так и зарядами, привнесенными со стороны (например, путем ионного внедрения). Заряды первого типа называются связанными, второго – сторонними или, что то же, свободными. Во избежание недоразумений подчеркнем, что данная терминология не имеет ничего общего с тем, подвижны заряды или нет.

Первое уравнение Максвелла в форме \begin{equation}\label{equat1} \text{div} \vec{E}=4\pi(\rho+\rho_{св}) \end{equation} указывает на связь макроскопического поля с плотностью как сторонних ($\rho$), так и связанных ($\rho_{св}$) зарядов. Поскольку последняя a priori не известна, вводится вспомогательная векторная величина $\vec{D}$, называемая электрической индукцией, для которой выполняется соотношение \begin{equation}\label{equat2} \text{div} \vec{D}=4\pi\rho, \end{equation} т. е. $\text{div} \vec{D}$ не зависит от плотности связанных зарядов.

Из уравнения \eqref{equat2} следует граничное условие на нормальные компоненты $\vec{D}$: \begin{equation}\label{equat3} D_{n2}-D_{n1}=4\pi\sigma, \end{equation} где $\sigma$ – поверхностная плотность сторонних зарядов.

Оказывается, в изотропных диэлектриках векторы $\vec{D}$ и $\vec{E}$ связаны простым соотношением: $$ \vec{D}=\varepsilon \vec{E}, $$ где $\varepsilon$ – диэлектрическая проницаемость среды.

Из второго уравнения Максвелла $$ \text{rot}\vec{E}=0 $$ следует граничное условие на тангенциальные компоненты $\vec{E}$: \begin{equation}\label{equat4} E_{t2}-E_{t1}=0. \end{equation}

Обычно общий вид поля в среде удается угадать, а граничные условия \eqref{equat3} и \eqref{equat4} позволяют найти неопределенные коэффициенты. Если одно из граничных условий оказывается неинформативным, то можно попытаться получить недостающую информацию из теоремы Гаусса, записанной для вектора $\vec{D}$: $$ \oint (\vec{D}\cdot d\vec{S})=4\pi Q, $$ где $Q$ – полный сторонний заряд внутри области, ограниченной поверхностью $S$. Область $S$ при этом требуется выбрать подходящим образом.

После того, как найдено поле в среде, можно определить удельный дипольный момент на единицу объема (поляризацию) по формуле $$ \vec{P}=\frac{\varepsilon-1}{4\pi}\vec{E}. $$

Зная поляризацию, можно непосредственно определить плотность связанных зарядов на границе раздела со стороны данного диэлектрика как $$ \sigma_{св}=P_n=\frac{\varepsilon-1}{4\pi}E_n, $$ где $P_n$ – проекция вектора поляризации на внешнюю нормаль к границе раздела.
Если граница разделяет диэлектрики с диэлектрическими проницаемостями $\varepsilon_1$ и $\varepsilon_2$, то полная плотность связанных зарядов равна $$ \sigma_{св}=P_{1n}+P_{2n} =\frac{\varepsilon_1-1}{4\pi }E_{1n} -\frac{\varepsilon_2-1}{4\pi }E_{2n}. $$ (знак ''-'' перед вторым слагаемым поставлен с учетом того, что направление внешней нормали с другой стороны от границы раздела меняется на противоположное, в то время как $E_{1n}$ и $E_{2n}$ здесь и чаще всего на практике определяются как проекции на одно направление).

С учетом $\varepsilon_1 E_{1n} = \varepsilon_2 E_{2n}$ получим также $$ \sigma_{\text{полн}}=\frac{\varepsilon_1-\varepsilon_2}{4\pi \varepsilon_2}E_{1n} = \frac{\varepsilon_1-\varepsilon_2}{4\pi \varepsilon_1}E_{2n}. $$

Ниже приведен ряд практических примеров на решение задач электростатики в диэлектриках.

Задача №597

Слой внутри цилиндрического конденсатора содержит непроводящий диэлектрик углового размера $\alpha$ с диэлектрической проницаемостью $\varepsilon$ и, в остальной области, проводник с проводимостью $\sigma$ (диэлектрическая проницаемость равна 1) (см. рисунок). Найти время релаксации зарядов, нанесенных на пластины конденсатора.

Показать решение

Задача №596

Слой внутри плоского конденсатора содержит непроводящий диэлектрик площадью $S_1$ с диэлектрической проницаемостью $\varepsilon$ и проводник площадью $S_2$ с проводимостью $\sigma$ ($\varepsilon_2=1$) (см. рисунок). Найти время релаксации зарядов, нанесенных на пластины конденсатора.

Показать решение

Задача №595

В одну половину цилиндрического конденсатора с длиной $L$ и радиусами обкладок $R_1$ и $R_2 \ll L$ вставлен без зазоров цилиндрический слой с диэлектрической проницаемостью $\varepsilon_1$, а в другую половину – с диэлектрической проницаемостью $\varepsilon_2$. Конденсатор зарядили до напряжения $U_0$, после чего внешний источник отключили. Найти работу, которую нужно совершить, чтобы вынуть диэлектрический слой с $\varepsilon_1$ (сила трения отсутствует).

Показать решение

Задача №594

В цилиндрический конденсатор с длиной $L$ и радиусами обкладок $R_1$ и $R_2 \ll L$ вставлены без зазоров два коаксиальных цилиндрических слоя с диэлектрическими проницаемостями $\varepsilon_1$ и $\varepsilon_2$. Радиус границы между слоями $R_3$. Конденсатор зарядили до напряжения $U_0$, после чего источник отключили. Найти работу, которую нужно совершить, чтобы вынуть внешний диэлектрический слой (сила трения отсутствует).

Показать решение

Задача №592

Пространство между двумя круглыми параллельными проводящими пластинами радиуса $a$, расположенными на расстоянии $d\, (d\ll a)$, заполнено средой, диэлектрическая проницаемость которой меняется по закону $\varepsilon(r) = \varepsilon_0\cos \frac{\pi r^2}{6a^2}$, где $r$ – расстояние от оси, проходящей через центры пластин. Найти емкость.

Показать решение

Задача №559

Найти изменение ёмкости плоского конденсатора $\delta C$ при внесении в него маленького диэлектрического шарика с проницаемостью $\varepsilon$. Радиус шарика $a$ мал по сравнению с расстоянием от его центра до пластин конденсатора, расстояние между которыми $d$. Краевыми эффектами пренебречь, до внесения шарика конденсатор был пуст.

Показать решение

Задача №549

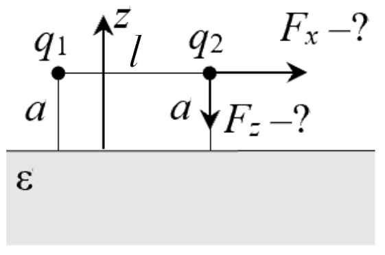
Верхнее полупространство $(z > 0)$ пусто, а нижнее заполнено диэлектриком с диэлектрической проницаемостью $\varepsilon$. Над диэлектриком на одинаковом расстоянии $a$ от его плоской границы и на расстоянии $l$ друг от друга расположены точечные заряды $q_1$ и $q_2$. Найти проекции силы, действующей на заряд $q_2$, на вертикальное $(F_z)$ и горизонтальное $(F_x)$ направления.

Показать решение

Задача №548

Верхнее полупространство $(z > 0)$ пусто, а нижнее заполнено диэлектриком с диэлектрической проницаемостью $\varepsilon$. Внутри диэлектрика на одинаковом расстоянии $a$ от его плоской границы и на расстоянии $l$ друг от друга расположены точечные заряды $q_1$ и $q_2$. Найти проекции силы $\vec{F}$, действующей на заряд $q_2$, на вертикальное $(F_z)$ и горизонтальное $(F_x)$ направления.

Показать решение

Задача №546

Пространство между двумя плоскими проводящими пластинами площадью $S$, расположенными параллельно друг другу на расстоянии $d\,\, (d \ll \sqrt{S})$, заполнено средой, диэлектрическая проницаемость которой меняется по $\varepsilon(z)=\frac{\varepsilon_0}{\cos \frac{\pi z}{2d}}$, где $z$ отсчитывается от середины конденсатора в направлении, перпендикулярном пластинам. Найти ёмкость конденсатора.

Показать решение

Задача №521

Цилиндрический конденсатор с обкладками радиуса $a$ и $b$ заполнен диэлектриком, проницаемость которого меняется по закону $\varepsilon(\alpha)=\varepsilon_0 (1+\sin^2\alpha)$. Найти емкость на единицу длины конденсатора.

Показать решение

Задача №520

Сферический конденсатор с обкладками радиуса $a$ и $b$ заполнен диэлектриком, проницаемость которого меняется по закону $\varepsilon(\theta)=\varepsilon_0 (1+\sin^2\theta)$. Найти емкость конденсатора.

Показать решение

Задача №502

Металлический шар радиуса $a$ помещен на плоскую границу раздела двух диэлектриков с диэлектрическими проницаемостями $\varepsilon_1$ (верхнее полупространство) и $\varepsilon_1$ (нижнее полупространство) так, что центр шара совпадает с границей раздела диэлектриков $z=0$ и находится в точке начала координат $(x=0, \,\,y=0)$. Система помещена во внешнее поле, направленное нормально к границе раздела, так, что электрическое поле вдали от шара и границы раздела однородно, а его напряженность в диэлектрике $\varepsilon_1$ равна $E_1$. Определить напряженность электрического поля и его индукцию во всем пространстве.

Показать решение

Задача №492

Четыре электрода расположены на горизонтальной границе проводящего полупространства с удельной проводимостью $\sigma$ и диэлектрической проницаемостью $\varepsilon$. В точках А и В подключён источник тока, а в точках М и N измеряется напряжение. Найти «кажущееся» сопротивление $R^*=U_{MN} /I_{AB}$, если AM=MN=NB=$l$ и лежат на одной прямой (схема Веннера, левый рис.). Что будет, если проводящее полупространство разделено вертикальной границей на две области с удельной проводимостью $\sigma_1$ и $\sigma_2$, диэлектрической проницаемостью $\varepsilon_1$ и $\varepsilon_2$ так, что электроды расположены вдоль границы раздела (правый рис)? Проверить ответ при $\sigma_1=\sigma_2=\sigma$.

Показать решение

Задача №491

К плоской горизонтальной границе диэлектрика с проницаемостью $\varepsilon$, занимающего верхнее полупространство, поднесли проводящую пластину площадью $S$ и массой $m$. Какой минимальный заряд следует сообщить пластине, чтобы она не упала? Ускорение свободного падения $g$.

Показать решение

Задача №490

Точечный диполь $\vec{d}$ закреплён на расстоянии $h$ от плоской границы проводника. Найти распределение поверхностной плотности $\sigma$ индуцированного заряда на границе, если $\vec{d}$ параллелен границе.

Показать решение

Задача №485

Точечный заряд $q$ расположен внутри сферической полости в незаряженном проводящем шаре радиуса $a$. Найти плотность зарядов на внешней поверхности шара.

Показать решение

Задача №484

Бесконечно длинная тонкая нить, равномерно заряженная с линейной плотностью $\varkappa$, протянута внутри цилиндрической полости в незаряженном проводящем бесконечно длинном цилиндре радиуса $a$. Оси нити, полости и цилиндра параллельны. Найти плотность зарядов на внешней поверхности цилиндра.

Показать решение

Задача №465

На некотором расстоянии от плоской границы раздела двух диэлектриков с диэлектрическими проницаемостями $\varepsilon_1$ и $\varepsilon_2$ находится точечный заряд $q$ (в среде с проницаемостью $\varepsilon_1$). Найти поток $\Phi$ напряженности электрического поля $\vec{E}$ через область границы (включая границу), имеющую форму круга с осью, проходящей через источник, и угловой радиус, видимый из источника, равный $\theta$.

Показать решение

Задача №457

Двугранный угол образован проводящими плоскостями $y = 0,\,x > 0$ и $x = 0,\, y > 0$. Плоскости электрически изолированы вдоль соединяющего ребра, а между ними приложена разность потенциалов $U$. Внешняя часть двугранного угла заполнена средой с диэлектрической проницаемостью $\varepsilon$. Найти поверхностную плотность свободного заряда $\sigma (x)\, (x > 0)$ в плоскости $y = 0$.

Показать решение

Задача №456

Двугранный угол образован проводящими плоскостями $y = 0,\,x > 0$ и $x = 0,\, y > 0$. Плоскости электрически изолированы вдоль соединяющего ребра, а между ними приложена разность потенциалов $U$. Внутренняя часть двугранного угла заполнена средой с диэлектрической проницаемостью $\varepsilon$. Найти поверхностную плотность свободного заряда $\sigma (x)\, (x > 0)$ в плоскости $y = 0$.

Показать решение

Задача №421

Найти плотность заряда $\rho(z)$ в плоском конденсаторе с квадратными электродами размером $a \times a$, расстоянием между пластинами $d \ll a$, (см. рис.), разностью потенциала между пластинами $U$. Удельная проводимость материала между пластинами зависит от $z$ как $\sigma(z)=\sigma_0 \e^{-\alpha z}$.

Показать решение

Задача №416

Определить емкость сферического конденсатора, радиусы обкладок которого равны $a$ и $b$, соответственно $(a < b)$, а диэлектрическая проницаемость диэлектрика между ними зависит от расстояния до центра как $\varepsilon(r)=\frac{b^2}{r^2}\tg\frac{r}{a}$.

Показать решение

Задача №415

Определить емкость на единицу длины (погонную емкость) цилиндрического конденсатора, радиусы обкладок которого равны $a$ и $b$, соответственно $(a < b)$, а диэлектрическая проницаемость диэлектрика между ними зависит от расстояния до оси как $\varepsilon(r)=\frac{b}{r}\tg\frac{r}{a}$.

Показать решение

Задача №372

Внутрь исходно незаряженного короткозамкнутого плоского конденсатора вставили электрет-брусок, состоящий из частиц с дипольными моментами $\vec{d}_0$, ориентированными одинаково и ортогонально пластинам конденсатора; площадь пластин $S$, а расстояние между ними $h\ll \sqrt{S}$. Число частиц в единице объема $n_0$. Размеры электрета совпадают с размерами конденсатора. Какой заряд протечет через проводник? Какую работу необходимо совершить, чтобы вставить электрет-брусок в конденсатор?
Указание. Считать, что потери энергии на излучении пренебрежимо малы.

Показать решение

Задача №371

Внутрь плоского конденсатора вставили электрет-брусок, состоящий из частиц с дипольными моментами $\vec{d}_0$, ориентированными одинаково и ортогонально пластинам конденсатора; площадь пластин $S$, а расстояние между ними $h\ll \sqrt{S}$. Число частиц в единице объема $n_0$. Размеры электрета совпадают с размерами конденсатора. Пластины конденсатора замыкают проводником. Какой заряд протечет через проводник? (2 б.) Какое количество тепла выделится в проводнике? (+2 б.)
Указание. Считать, что потери энергии на излучении пренебрежимо малы.

Показать решение

Задача №317

Тонкостенный замкнутый прямоугольный сосуд наполовину заполнен жидким диэлектриком. На две противоположные (наибольшие по площади) грани напылены металлические электроды, и к ним подключен измеритель емкости. В двух положениях, показанных на рисунке, проводятся измерения емкости. Отношения показаний равно $C_I/C_{II} = 9/8$. Найдите диэлектрическую проницаемость $\varepsilon$ жидкости. Поперечные размеры двух металлизированных граней много больше расстояния между ними.

Показать решение

Задача №316

Тонкостенный замкнутый прямоугольный сосуд наполовину заполнен жидким диэлектриком. На две противоположные (наибольшие по площади) грани напылены металлические электроды, и к ним подключен измеритель емкости. В двух положениях, показанных на рисунке, проводятся измерения емкости. Отношения показаний равно $C_{I}/C_{II} = 4/3$. Найдите диэлектрическую проницаемость $\varepsilon$ жидкости. Поперечные размеры двух металлизированных граней много больше расстояния между ними.

Показать решение

Задача №268

В пространство с однородным электрическим полем $E_0$ поместили диэлектрический цилиндр длиной $l$ и сечением $S$ $(l\ll S )$ с диэлектрической проницаемостью $\varepsilon$. Ось цилиндра и направление электрического поля $E_0$ совпадают. Оценить электрическое поле, создаваемое цилиндром на расстояниях $r\gg l$.

Показать решение

Задача №267

В пространство с однородным электрическим полем $E_0$ поместили диэлектрический цилиндр длиной $l$ и сечением $S$ $(l\ll S )$ с диэлектрической проницаемостью $\varepsilon$. Ось цилиндра и направление электрического поля $E_0$ совпадают. Оценить вклад в электрическое поле от цилиндра в его центре, в точке, находящейся посередине между его торцами.

Показать решение

Задача №261

В центр бесконечного диэлектрического цилиндра радиуса $R$ с диэлектрической проницаемостью $\varepsilon$ поместили бесконечную однородно заряженную нить с линейной плотностью заряда $\varkappa$. Найти электрическое поле во всем пространстве и связанный заряд на единицу длины на границе цилиндра.

Показать решение

Задача №260

В центр диэлектрического шара радиуса $R$ с диэлектрической проницаемостью $\varepsilon$ поместили точечный заряд $q$. Найти электрическое поле во всем пространстве и связанный заряд на границе шара.

Показать решение

Задача №220

Проводник $A$ находится внутри замкнутой проводящей оболочки $B$. Прослойка такого конденсатора состоит из двух областей c границей раздела, образующей замкнутую поверхность (показана на рисунке пунктиром). Форма электродов и границы раздела произвольные. Диэлектрическая проницаемость и проводимость областей равны $\varepsilon_1,\, \sigma_1$ и $\varepsilon_2,\, \sigma_2$ соответственно. К электродам подано напряжение, такое, что от $A$ к $B$ течет постоянный ток $I$. Какой свободный заряд $Q$ накапливается при этом на границе раздела?

Показать решение

Задача №217

Оценить диэлектрическую проницаемость кристалла, имеющего структуру простой кубической решетки, в узлах которой находятся металлические шарики диаметром $d\ll a$, где $a$ – постоянная решетки.

Показать решение

Задача №216

Пространство с $x<0,\, y<0,\, z<0$ заполнено диэлектриком с диэлектрической проницаемостью $\varepsilon_1$. Остальное пространство заполнено диэлектриком с диэлектрической проницаемостью $\varepsilon_2$. В начало координат поместили точечный заряд $q$. Найти потенциал и напряженность электрического поля во всем пространстве.

Показать решение

Задача №210

В вершине бесконечного конуса с углом раствора $2\theta_0$ расположен заряд $q$. Внутренняя часть конуса заполнена диэлектриком с диэлектрической проницаемостью $\varepsilon_1$, остальная часть пространства заполнена диэлектриком с проницаемостью $\varepsilon_2$. Найти потенциал и электрическое поле во всем пространстве.

Показать решение

Задача №180

Точечный заряд $q$ помещен на плоскую границу полупространств с диэлектрической проницаемостью $\varepsilon_1$ и $\varepsilon_1$ и проводимостью $\sigma_1$ и $\sigma_2$ соответственно. Пренебрегая влиянием магнитного поля, найти зависимость заряда от времени $q(t)$, если $q(0)=q_0$.

Показать решение

Задача №158

Прямой полубесконечный провод с током $I$ входит по нормали в проводящее полупространство $z$>0, в котором $\sigma$=const, $\mu$=1. Найти распределения потенциала $\varphi(r,\theta)$ и объемной плотности тока $\vec{j}(r,\theta)$ в данном полупространстве (2 б); магнитное поле $\vec{B}$ во всем пространстве. (2 б)

Показать решение

Задача №151

Найти емкость сферического конденсатора, радиусы внутренней и внешней обкладок $a$ и $b$. Конденсатор заполнен диэлектриками с диэлектрическими проницаемостями $\varepsilon_1$ и $\varepsilon_2$, как показано на рисунке.

Показать решение

Задача №150

Незаряженный диэлектрический шар радиуса $b$, содержащий внутри себя проводящий шар радиуса $a<b$, находится в однородном внешнем электрическом поле $\vec{E}_0$. Найти распределение потенциала во внешнем пространстве $r>b$, в диэлектрическом слое $a<r<b$ и в металлическом шаре.

Показать решение

Задача №136

В среде с однородной проводимостью $\sigma$ и диэлектрической проницаемостью $\varepsilon(x)$, распределенной, как показано на рисунке, течет постоянный ток с плотностью $\vec{j}=j_0\vec{e}_x$. Найти плотность свободных и связанных зарядов во всем пространстве.

Показать решение

Задача №130

В плоскости $z=0$, разделяющей два полупространства, заполненных диэлектриками с $\varepsilon_1\; (z<0)$ и $\varepsilon_2\; (z>0)$, расположены точечные заряды в вершинах равнобедренного прямоугольного треугольника, как показано на рисунке. Найти дипольный член в разложении потенциала $\varphi_{1,2}(x,y,z)$ для обеих областей на расстояниях, много больших, чем $a$.

Показать решение

Задача №129

В плоскости $z=0$, разделяющей два полупространства, заполненных диэлектриками с $\varepsilon_1\; (z<0)$ и $\varepsilon_2\; (z>0)$, расположены точечные заряды в вершинах равнобедренного прямоугольного треугольника, как показано на рисунке. Найти дипольный член в разложении потенциала $\varphi_{1,2}(x,y,z)$ для обеих областей на расстояниях, много больших, чем $a$.

Показать решение

Задача №126

Сфера радиуса $R$ заполнена диэлектриком проницаемостью $\varepsilon$. Потенциал на поверхности сферы задан: $\varphi(R,\theta)=\varphi_0 \sin^2(\theta/2)$. Зарядов внутри и вне сферы нет (заряды, создающие потенциал, расположены только на поверхности диэлектрика). Найти потенциал и электрическое поле во всем пространстве, а также поверхностную плотность связанного заряда на границе диэлектрика.

Показать решение

Задача №37

Металлическая тонкостенная труба квадратного поперечного сечения заполнена однородными диэлектриками $\varepsilon_1$ и $\varepsilon_2$, как показано на рисунке. В области диэлектрика $\varepsilon_1$ распределение потенциала известно: $\varphi_1(x,y)=\varphi_0\frac{ (a-x)y}{a^2}$, $\varphi_0=\const$. Найти распределение потенциала $\varphi_2(x,y)$ (2 б) и распределение свободных зарядов на границе раздела диэлектриков (3 б).

Показать решение

Задача №33

Проводящая незаряженная сфера радиуса $R$ и массой $M$ свободно плавает в диэлектрике с проницаемостью $\varepsilon$, погрузившись в нее на четверть своего объема. Какой заряд $Q$ нужно нанести на сферу, чтобы она погрузилась на половину своего объема? Ускорение свободного падения равно $g$.

Показать решение

Задача №32

Слой проводника, бесконечно протяженный по координатам $y$ и $z$, имеет проводимость, меняющуюся по закону: $$\sigma(z)=\frac{\sigma_0}{1+p \sin(k z)},$$где $\sigma_0$, $p<1$, $k$ – константы. По слою бежит ток с объемной плотностью $j_z = j_0 = \const$. Определить:
1) распределение потенциала внутри слоя (2 б);
2) потенциал в окружающем пустом пространстве (2 б);
3) распределение зарядов $\Sigma(z)$ на поверхности слоя $x=0$ (2 б).

Показать решение

Задача №31

Длинная металлическая труба квадратного поперечного сечения со сторонами $a$ заполнена однородными диэлектриками $\varepsilon_1$ и $\varepsilon_2$, как показано на рисунке. Граница раздела диэлектриков содержит равномерно распределенный свободный заряд с поверхностной плотностью $\Sigma_0$. Определить распределение потенциала в областях 1 и 2.
Указание: потенциал в области 1 искать в виде $\phi_1=C_1 x (y-a)$, $C_1=\text{const}$; аналогично в области 2.

Показать решение

Задача №30

Найти время релаксации заряда, помещенного на внутренний электрод сферического конденсатора, часть которого в секторе с телесным углом $\Omega $ заполнена диэлектриком с проницаемостью $\varepsilon $, а оставшаяся часть — проводником с проводимостью $\sigma$.

Показать решение

Задача №20

Диэлектрическая проницаемость среды в пространстве между обкладками плоского конденсатора задана функцией \[ \varepsilon =\left\{ \begin{array}{ll} \varepsilon_0( 1+\alpha x) & при \; 0\textless x\textless d/2\\ 1 & при \; d/2\leqslant x\leqslant d, \end{array} \right. \] где $d$ – расстояние между обкладками. Найти напряженность поля $E(x)$ между обкладками, если приложенное напряжение равно $U$

Показать решение

Задача №13

В плоской границе раздела двух полупространств с диэлектрическими проницаемостями $\varepsilon_1$ и $\varepsilon_2$ находится равномерно заряженное кольцо радиуса $a$ с общим зарядом $q$. Найти два первых ненулевых члена разложения потенциала $\varphi (r,\theta )$ для расстояний $r\gg a$

Показать решение

Задача №11

Найти емкость длинного ($l\gg b,a$) цилиндрического конденсатора (сечение показано на рисунке), верхняя и нижняя половины которого заполнены диэлектриком с проницаемостью $\varepsilon_1$, $\varepsilon_2$ соответственно. Найти силу, действующую на внутреннюю обкладку, если разность потенциалов между обкладками равна $U$.

Показать решение

Задача №9

Длинный цилиндрический конденсатор (радиусы обкладок $a$ и $c$, длина $L$) имеет заполнение в виде двух концентрических слоев с различными проводимостями ($\sigma_1$ и $\sigma_2$) и диэлектрическими проницаемостями ($\varepsilon_1$ и $\varepsilon_2$), причем $\sigma_1/\varepsilon_1=\sigma_2/\varepsilon_2$. Радиус границы раздела слоев – $b$. Внутренняя обкладка конденсатора заземлена, к внешней приложено постоянное напряжение $U$. В некоторый момент времени $t = t_0$ внешнюю обкладку мгновенно отключают от источника напряжения и соединяют с землей через сопротивление $R$. Найти ток через сопротивление $I_R(t)$

Показать решение